Системы уравнений по алгебре за 7-9 класс - онлайн генератор примеров.
Наш генератор примеров по алгебре поможет учителю быстро составить проверочные карточки с системами уравнений для учеников 7-9 класса. Полученные примеры можно распечатать на принтере (версия для печати). Кроме того, на все задания есть готовые ответы - просто перетащите пример в пустое поле (или скопируйте адрес изображения) и нажмите на кнопку "Узнать ответ". Данный онлайн сервис должен помочь учителю при подготовке к уроку алгебры и математики по теме: решение систем уравнений..

Вернуться на главную страницу сайта



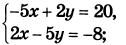
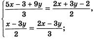
Задание №1. Решите систему уравнений:
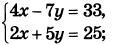
1)решить систему уравнений
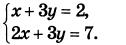
2)решить систему уравнений
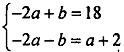
3)решить систему уравнений
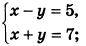
4)решить систему уравнений
5)решить систему уравнений
6)решить систему уравнений
Похожие генераторы примеров:
Генератор случайных систем уравнений (по одной).
Разложение квадратного трехчлена на множители.
Разложение многочлена на множители и умножение множителей.
Системы уравнений.
Линейные уравнения.
Уравнения 3-ей и 4-ой степени.

Вернуться на главную страницу сайта